του Χρήστου Παπαδόπουλου
«Η Επιστροφή της ΕΡΤ και τα μέσα ενημέρωσης» αποτέλεσε ένα μεγάλο πολιτικό, και μιντιακό γεγονός. Το παρόν κείμενο επιχειρεί να καταγράψει τη στάση που κράτησαν τα μέσα ενημέρωσης όσον αφορά στο γεγονός της επαναλειτουργίας της ελληνικής δημόσιας ραδιοτηλεόρασης καθώς και στο εάν υπήρχε διαφοροποίηση στη στάση αυτή ανάλογα με τον πολιτικό χώρο στον οποίο (θεωρούνται ότι) ανήκουν τα μέσα αυτά.
Η Ελληνική Ραδιοφωνία Τηλεόραση, η γνωστή μας ΕΡΤ, είναι ο δημόσιος ραδιοτηλεοπτικός φορέα της Ελλάδας, η οποία ξεκίνησε τη λειτουργία της επισήμως το 1966 και για 23 χρόνια απολάμβανε το μονοπώλιο στο ραδιοτηλεοπτικό πεδίο μέχρι την απορρύθμιση της και την εμφάνιση της ιδιωτικής τηλεόρασης. Μετά την απελευθέρωση της τηλεόρασης, στις αρχές της δεκαετίας του ’90, η ΕΡΤ γνώρισε μια κατακόρυφη πτώση όσον αφορά στην απήχησή της στο τηλεοπτικό κοινό φτάνοντας εν τέλει στη διακοπή της λειτουργίας της τον Ιούνιο του 2013. Τελικά, επαναλειτούργησε στις 11 Ιουνίου 2015, προσφέροντας τις υπηρεσίες της μέχρι και σήμερα. Με τον όρο “επιστροφή” εννοούμε την επαναλειτουργία της ΕΡΤ στις 11 Ιουνίου 2015 από την συγκυβέρνηση ΣΥΡΙΖΑ-ΑΝΕΛ ακριβώς δυο χρόνια μετά την απότομη διακοπή της λειτουργίας της από την τότε συγκυβέρνηση ΝΔ-ΠΑΣΟΚ-ΔΗΜΑΡ με την αιτιολογία ότι ήταν κοστοβόρα, παρήγαγε χαμηλής ποιότητας πρόγραμμα και δεν σεβόταν τα χρήματα των Ελλήνων φορολογούμενων. Για δυο χρόνια, από τον Ιούνιο του 2013 μέχρι τον Ιούνιο του 2015, η ΕΡΤ παρέμεινε κλειστή και η προαναφερθείσα συγκυβέρνηση την αντικατέστησε αρχικά με τη Δημόσια Τηλεόραση η οποία αποτέλεσε το μεταβατικό στάδιο μέχρι να ιδρυθεί ο μόνιμος διάδοχος της ΕΡΤ, η Νέα Ελληνική Ραδιοφωνία, Ίντερνετ και Τηλεόραση (ΝΕΡΙΤ). Η ΝΕΡΙΤ λειτούργησε για ένα χρόνο, από τις 4 Μαΐου 2014 έως τις 11 Ιουνίου 2015, μέχρι, δηλαδή, την επαναλειτουργία της ΕΡΤ.
Το υλικό της μελέτης μας το αντλήσαμε από τις διαδικτυακές εκδόσεις των εφημερίδων και των ειδησεογραφικών ιστοσελίδων που χρησιμοποιήσαμε. Οι ηλεκτρονικές εφημερίδες που χρησιμοποιήσαμε ήταν: kathimerini.gr, tanea.gr protothema.gr, avgi.gr, efsyn.gr, rizospastis.gr τις οποίες διακρίναμε, ως προς τον πολιτικό χώρο στον οποίο ανήκουν, σε κεντροδεξιές και αριστερές σύμφωνα με την ευρύτερη αντίληψη ή κατανόηση στο χώρο της δημοσιογραφίας (Χρυσανθακοπούλου 2013 & Λιαλιούτη 2005).
Αρχική μας πρόθεση ήταν να χρησιμοποιήσουμε την έντυπη έκδοση των εφημερίδων (Καθημερινή, Πρώτο Θέμα, Τα Νέα, Ριζοσπάστης, Αυγή και Εφημερίδα των Συντακτών), αλλά επειδή δεν υπήρχε δυνατότητα πρόσβασης σε δημοσιεύματα των συγκεκριμένων εφημερίδων κατά την περίοδο που θέλαμε να εξετάσουμε, χρησιμοποιήσαμε, εν τέλει, την ηλεκτρονική τους μορφή.
Επιπλέον, προσθέσαμε στην έρευνά μας τις ειδησεογραφικές ιστοσελίδες: newsit.gr, news247.gr, iefimerida.gr, zougla.gr, οι οποίες δεν καταγράφονται επί του παρόντος στη δημόσια αντίληψη σε κάποιο συγκεκριμένο πολιτικό χώρο.
Η επαναλειτουργία της ΕΡΤ
Στις 11 Μαΐου 2015, ακριβώς 2 χρόνια μετά το κλείσιμό της, η κυβέρνηση ΣΥΡΙΖΑ-ΑΝΕΛ, με σχετικό νομοσχέδιο που υπερψηφίστηκε στις 28 Απριλίου 2015, άνοιξε ξανά την ΕΡΤ, εκπληρώνοντας τις προεκλογικές της υποσχέσεις. Έτσι, άρχισαν να επαναλειτουργούν τα 3 κρατικά κανάλια (ΕΡΤ1, ΕΡΤ2, και λίγο αργότερα η ΕΡΤ3) μαζί με το ΕΡΤ HD καθώς και την ERT World (sport-fm.gr, 2015 & newsbeast.gr, 2016).
Όμως, η επαναλειτουργία της ΕΡΤ συνοδεύτηκε από σωρεία αντιδράσεων ακόμα και από την ΠΟΣΠΕΡΤ (tanea.gr, 2015), καθώς ο σχετικός νόμος (4324/15) για τις ρυθμίσεις των θεμάτων του δημόσιου ραδιοτηλεοπτικού φορέα δεν διατυπώνει με σαφήνεια την επαναλειτουργία των δομών και των υπηρεσιών του φορέα. Μια ακόμη προβληματική ρύθμιση του εν λόγω νόμου, είναι ότι επιτρέπει την άμεση παρέμβαση της κυβέρνησης στη δημόσια ραδιοτηλεόραση, καθώς τα υψηλόβαθμα στελέχη της ΕΡΤ μπορούν να επιλέγονται από τον Υπουργό Επικρατείας με την Επιτροπή Θεσμών και Διαφάνειας της Βουλής να έχει απλή γνωμοδότηση (polites.ert.gr, 2015). Επιπλέον, έντονες αντιδράσεις υπήρξαν και από τα κόμματα της αντιπολίτευσης ήδη από την πρώτη μέρα λειτουργία της, καθώς παρευρέθηκαν στο πάνελ στελέχη της συγκυβέρνησης ΣΥΡΙΖΑ-ΑΝΕΛ (Ρηγόπουλος 2015), ενώ κατηγόρησαν τη δημόσια τηλεόραση ότι προπαγανδίζει τις θέσεις της κυβέρνησης, υπονομεύοντας τη Δημοκρατία και την πολυφωνία, ειδικά μετά και το νομοσχέδιο για τις τηλεοπτικές άδειες των ιδιωτικών καναλιών που προώθησε ο ΣΥΡΙΖΑ (protothema.gr, 2016).
Η έρευνα
Βασικό ζητούμενο της μελέτης μας ήταν, όπως αναφέραμε, να καταγράψουμε τη στάση που υιοθέτησαν τα μέσα ενημέρωσης σχετικά με την επαναλειτουργία της ΕΡΤ.[1] Παράλληλα, προσπαθήσαμε να καταγράψουμε εάν υπήρχαν αποκλίσεις ανάμεσα σε αριστερού και κεντροδεξιού πολιτικού προσανατολισμού Μέσα ενημέρωσης σχετικά με την επαναλειτουργία της ΕΡΤ, όπως και εάν τα εν λόγω δημοσιεύματα αναφερόντουσαν:
α) Στα πλεονεκτήματα και τα μειονεκτήματα της επαναλειτουργίας της ΕΡΤ στον πολιτικό και οικονομικό τομέα.
β) Στον πολιτικό συμβολισμό της επαναλειτουργίας.
γ) Στις οικονομικές προοπτικές για τη δημόσια τηλεόραση.
Για τη διερεύνηση των προαναφερθέντων ερωτημάτων έγινε ανάλυση περιεχομένου δημοσιευμάτων για το θέμα της επαναλειτουργίας της ΕΡΤ από την κυβέρνηση ΣΥΡΙΖΑ-ΑΝΕΛ.
Για το υλικό της μελέτης αντλήσαμε πληροφορίες από 6 ηλεκτρονικές εφημερίδες (avgi.gr, efsyn.gr, kathimerini.gr, tanea.gr, rizospastis.gr, protothema.gr) και από 4 ειδησεογραφικές ιστοσελίδες (newsit.gr, news247.gr, zougla.gr, iefimerida.gr). Η επιλογή μας για τις συγκεκριμένες ιστοσελίδες βασίστηκε στην πολιτική κατεύθυνση, προσπαθώντας να καλύψουμε όλο το πολιτικό εύρος χωρίζοντας τες σε αριστερά και κεντροδεξιά φίλα προσκείμενες.
Έτσι, ορίσαμε ως αριστερόστροφου προσανατολισμού ιστοσελίδες: 1) την avgi.gr (Αυγή) που αυτοαποκαλείται η εφημερίδα της Αριστεράς, 2) την efsyn.gr (Εφημερίδα των Συντακτών) που αποτελεί τον διάδοχο της Ελευθεροτυπίας και γενικώς εκφράζει την ανανεωτική αριστερά (Χρυσανθακοπούλου 2013), 3) το rizospastis.gr (Ριζοσπάστης) που αποτελεί όργανο της κεντρικής επιτροπής του Κομμουνιστικού Κόμματος Ελλάδος και 4) το zougla.gr καθώς είχε πολύ περισσότερα δημοσιεύματα που υποστήριζαν τις ενέργειες της κυβέρνησης (σύμφωνα με τα αποτελέσματα της Πλαισίωσης Ι).
Από την άλλη πλευρά, ως κεντροδεξιού προσανατολισμού ιστοσελίδες ορίσαμε: 1) tanea.gr (Τα Νέα) που εντάσσονται στο χώρο του κέντρου, 2) την kathimerini.gr (Καθημερινή) που εντάσσεται στο χώρο της Κεντροδεξιάς (Λιαλιούτη 2005) και 3) το protothema.gr (Πρώτο Θέμα), 4) το newsit.gr, 5) το news247.gr, 6) το iefimerida.gr για τα οποία λάβαμε υπόψη μας τα αποτελέσματα της Πλαισίωσης Ι με τη συγκρουσιακή στάση προς τις ενέργειες της κυβέρνησης να υπερτερεί στα δημοσιεύματα των συγκεκριμένων ιστοσελίδων.
Από αυτά τα μέσα ενημέρωσης, καταγράψαμε δημοσιεύματα που αναφέρονταν σε τρεις διαφορετικές περιόδους:
- Στην περίοδο επαναλειτουργίας της ΕΡΤ από την ημέρα του γεγονότος αυτού στις 11 Ιουνίου 2015 έως και 40 ημέρες μετά δηλαδή μέχρι τις 21 Ιουλίου 2015
- Στην 1η επέτειο επαναλειτουργίας από τις 11 Ιουνίου έως τις 21 Ιουλίου 2016
- Στη 2η επέτειο επαναλειτουργίας από τις 11 Ιουνίου έως τις 21 Ιουλίου 2017
Το χρονικό αυτό περιθώριο των 40 ημερών έγινε με γνώμονα ότι πέραν αυτού του διαστήματος, το ενδιαφέρον για ένα θέμα τόσο μεγάλης σημασίας εξασθενεί.
Επιπλέον, θεωρήσαμε ότι σε ένα συγκεκριμένο χρονικό διάστημα, όπως αυτό των 40 ημερών, όλα τα μέσα ενημέρωσης θα δώσουν παρόμοια σημασία σε ένα συγκεκριμένο θέμα, παρουσιάζοντας ομοιότητες στην κάλυψή του (Dearing και Rodgers, 2005).
Τα συνολικά δημοσιεύματα που χρησιμοποιήσαμε στην έρευνα ανήλθαν στα 538 (260 δημοσιεύματα είχαν οι αριστερόστροφου προσανατολισμού ιστοσελίδες και 278 δημοσιεύματα οι κεντροδεξιού προσανατολισμού ιστοσελίδες) στα οποία εφαρμόσαμε ένα σχήμα κωδικοποίησης, βάσει της θεωρίας, έτσι ώστε να ποσοτικοποιήσουμε τα δεδομένα μας για να μπορέσουμε να τα αναλύσουμε με μεγαλύτερη ακρίβεια.
Για την ανάλυση και ερμηνεία των αποτελεσμάτων χρησιμοποιήσαμε το στατιστικό πακέτο SPSS 24 και πιο συγκεκριμένα το στατιστικό τεστ χ-τετράγωνο (Chi-square test), το οποίο παρουσιάζει τη σχέση μεταξύ δυο μεταβλητών πληροφορώντας τον ερευνητή για την ένταση αυτής της σχέσης.[2]
Αποτελέσματα έρευνας
Τα αποτελέσματα της έρευνας όπως αυτά προέκυψαν με τη βοήθεια του στατιστικού πακέτου SPSS 24 είναι τα παρακάτω:
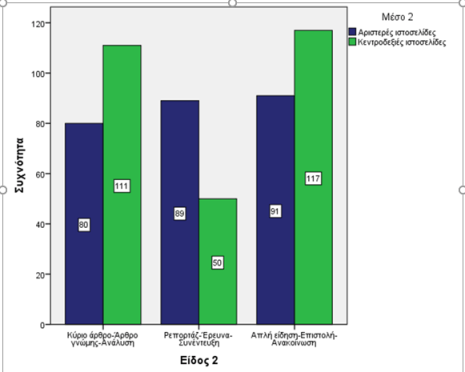
Γράφημα 1: Είδος δημοσιευμάτων ανά υποκατηγορία ιστοσελίδων
Όπως βλέπουμε στο γράφημα 1, οι κεντροδεξιές ηλεκτρονικές ιστοσελίδες (kathimerini.gr, tanea.gr protothema.gr, newsit.gr, news247.gr, iefimerida.gr) έχουν μεγαλύτερο αριθμό Κύριων άρθρων, Άρθρων γνώμης και ανάλυσης (111) από τις αριστερές ιστοσελίδες (avgi.gr, efsyn.gr, zougla.gr, rizospastis.gr) (80)[3].
Όσον αφορά το Ρεπορτάζ-Έρευνα-Συνέντευξη, εκεί υπερέχουν οι αριστερές με 89 δημοσιεύματα έναντι 50 των κεντροδεξιών. Για το συγκεκριμένο είδος παραθέτουμε ενδεικτικά το δημοσίευμα της efsyn.gr με τίτλο «η ΕΡΤ στον… αέρα» το οποίο αναφέρεται στην πρώτη μέρα επαναλειτουργίας της ΕΡΤ και στην πρωινή ενημερωτική εκπομπή που εγκαινίασε το πρόγραμμα της δημόσιας ραδιοτηλεόρασης (Κανελλόπουλος 2015).
Τέλος, οι κεντροδεξιές ιστοσελίδες έχουν περισσότερα δημοσιεύματα με Απλή είδηση-Επιστολή-Ανακοίνωση (117) απ’ ότι οι αριστερές (91) χωρίς, όμως, η διαφορά αυτή να θεωρείται στατιστικά σημαντική.
Γράφημα 2: Κατηγορία δημοσιευμάτων ανά υποκατηγορία ιστοσελίδων
Στο γράφημα 2 βλέπουμε ότι οι κεντροδεξιές ιστοσελίδες έχουν περισσότερα δημοσιεύματα που αναφέρονται στην πολιτική διάσταση της επαναλειτουργίας της ΕΡΤ (141) από τις αριστερές (78). Για παράδειγμα, το δημοσίευμα του protothema.gr με τίτλο «Ξαναπροσλαμβάνουν 6.500 ‘δικά τους παιδιά’» (Γαλάνης 2015) παίρνοντας αφορμή από την επαναπρόσληψη των απολυμένων δημοσιογράφων στην ΕΡΤ κάνει αναφορά στο μπαράζ προσλήψεων εν γένει στον δημόσιο τομέα από την κυβέρνηση ΣΥΡΙΖΑ.
Όσον αφορά όμως τα τηλεοπτικά, οι αριστερές ιστοσελίδες (152) έχουν περισσότερα δημοσιεύματα από τις κεντροδεξιές (117). Ενδεικτικά, ένα δημοσίευμα της κατηγορίας τηλεοπτικά είναι το «Εκπομπή για τις Ένοπλες Δυνάμεις στην ΕΡΤ» της zougla.gr στο οποίο αναφέρεται η ανακοίνωση του προέδρου των ΑΝΕΛ και υπουργού Άμυνας Πάνου Καμμένου για προγραμματισμένη εκπομπή στην ΕΡΤ σχετικά με το έργο των Ενόπλων Δυνάμεων μετά από συνάντηση που είχε ο κ. Καμμένος με τον πρόεδρο της δημόσιας ραδιοτηλεόρασης, κ. Διονύση Τσακνή (zougla.gr, 2015)
Τέλος, στην κατηγορία Κοινωνία-Κόσμος-Οικονομία οι διαφορές μεταξύ των δυο μεταβλητών είναι μικρές καθώς οι αριστερές ιστοσελίδες έχουν 30 δημοσιεύματα έναντι 20 των κεντροδεξιών. Χαρακτηριστικά αναφέρουμε το δημοσίευμα της efsyn.gr με τίτλο «Η μηχανική του φόβου σταθερά στην υπηρεσία του ‘Ναι σε όλα’» η οποία αναφέρεται στην περίοδο του δημοψηφίσματος και στο πώς τα τηλεοπτικά δελτία των ιδιωτικών καναλιών προσπαθούν να πείσουν τους Έλληνες πολίτες να ψηφίσουν ‘Ναι’ στα μέτρα των θεσμών υπενθυμίζοντάς τους τις συνέπειες που θα έχει η αρνητική τους ψήφος (Σαραντής, Τ., Τζιαντζή, Α. 2015).
Γράφημα 3: Στάση των δημοσιευμάτων ως προς τους χειρισμούς της κυβέρνησης ανά υποκατηγορία ιστοσελίδων
Όπως βλέπουμε στο γράφημα 3, οι κεντροδεξιού προσανατολισμού εφημερίδες, όπως ήταν αναμενόμενο, εμφανίζουν περισσότερα επικριτικά δημοσιεύματα αναφορικά με χειρισμούς της κυβέρνησης (155) σε σχέση με τις αριστερές (58). Το αντίθετο συμβαίνει με τη συναίνεση στους χειρισμούς της κυβέρνησης με τις αριστερού προσανατολισμού εφημερίδες (184) να έχουν περισσότερα δημοσιεύματα απ’ ότι οι κεντροδεξιές (98). Τέλος, μικρή διαφοροποίηση υπάρχει στη διαπραγματευτική στάση ως προς τους χειρισμούς της κυβέρνησης με τις αριστερές ιστοσελίδες να έχουν 18 δημοσιεύματα έναντι 25 των κεντροδεξιών.
Πιο συγκεκριμένα, η avgi.gr εστιάζει περισσότερο στα θετικά της επαναλειτουργίας της ΕΡΤ, καθώς και μέσω των δηλώσεων του πρωθυπουργού και των λοιπών υπουργών της κυβέρνησης ΣΥΡΙΖΑ-ΑΝΕΛ, τονίζεται η σημασία για την αποκατάσταση της δημοκρατίας και της πολυφωνίας στην ενημέρωση[4]. Για παράδειγμα, στο δημοσίευμα με τίτλο «Στοίχημα ενημέρωσης και δημοκρατίας» γίνεται εκτενής αναφορά στην εκδήλωση για την επαναλειτουργία της ΕΡΤ στο ραδιομέγαρο καθώς και στις δηλώσεις του Πρωθυπουργού που χαρακτηρίζει το γεγονός ως τίμιο αγώνα που δικαιώνεται.
Η Εφημερίδα των Συντακτών εστιάζει και αυτή με τη σειρά της στα πλεονεκτήματα του ανοίγματος της ΕΡΤ καθώς αναφέρεται στην νέα εποχή της δημόσιας τηλεόρασης. Έτσι, με το άρθρο γνώμης «Η νέα ΕΡΤ και τα παλιά φαύλα αφεντικά της» (Παππάς 2015) ενίσταται στην κατηγορία των κομμάτων της αντιπολίτευσης και των δημοσιογράφων των ιδιωτικών καναλιών που υποστηρίζουν ότι τίποτα δεν πρόκειται να αλλάξει κι ότι η ΕΡΤ θα αποτελέσει για ακόμη μια φορά εργαλείο της κυβέρνησης, λέγοντας ότι θα πρέπει να δείξουν υπομονή, να μην κρίνουν εκ των προτέρων και να αφήσουν τη νέα διοίκηση να θέσει σε εφαρμογή το πρόγραμμά της. Επίσης, αναφέρεται κι αυτή στον πολιτικό συμβολισμό της επαναλειτουργίας της που αποτελεί νίκη της Δημοκρατίας και εξασφάλιση της πολυφωνίας[5]. Στη zougla.gr παρουσιάζονται όλες οι πλευρές της επαναλειτουργίας της ΕΡΤ, αρχής γενομένης του πολιτικού συμβολισμού της για τη Δημοκρατία και την αντικειμενική ενημέρωση[6]. Από την άλλη πλευρά, αναφέρεται εκτενώς στην αντιπαράθεση που ξέσπασε μεταξύ κυβέρνησης και αντιπολίτευσης με αφορμή την επαναλειτουργία της ΕΡΤ με τη ΝΔ και τα κόμματα της αντιπολίτευσης να κατηγορούν την ΕΡΤ ως «φερέφωνο της κυβέρνησης ΣΥΡΙΖΑ-ΑΝΕΛ»[7].
Αντιθέτως, η kathimerini.gr εστιάζει, κυρίως, στα αρνητικά της επαναλειτουργίας της δημόσιας τηλεόρασης καθώς στο δημοσίευμά της με τίτλο «Ν.Δ.: Ο ΣΥΡΙΖΑ κάνει κομματική προπαγάνδα από την ΕΡΤ» (kathimerini.gr, 2015) φιλοξενεί την ανακοίνωση του Γραφείου Τύπου της Νέας Δημοκρατίας η οποία υποστηρίζει ότι η δημόσια ραδιοτηλεόραση αποτελεί για μια ακόμη φορά εργαλείο κυβερνητικής προπαγάνδας, χωρίς να έχει επέλθει η αναγγελθείσα αλλαγή στο δημόσιο ραδιοτηλεοπτικό φορέα, ξοδεύοντας παράλληλα τα χρήματα του ελληνικού λαού[8].
Στην ιστοσελίδα tanea.gr τηρείται μια ουδέτερη στάση για το γεγονός της επαναλειτουργίας της ΕΡΤ καθώς γίνεται αναφορά και στα θετικά και στα αρνητικά μέσα και από τις δηλώσεις των πολιτικών προσώπων. Από την μια μεριά, με το δημοσίευμα «Συγκίνηση στο Ραδιομέγαρο της ΕΡΤ» γίνεται αναφορά στο κλίμα χαράς που επικρατούσε στο ραδιομέγαρο, από πολίτες και στελέχη της κυβέρνησης, κατά την εκδήλωση για την επαναλειτουργία της και από την άλλη μεριά, με το καυτηριάζεται η παρουσία της Ζωής Κωνσταντοπούλου στο πλατό της επανασυσταθείσας ΕΡΤ. [9]
Το protothema.gr συνεχίζει να καυτηριάζει την επαναλειτουργία της ΕΡΤ, υποστηρίζοντας ότι η δημόσια τηλεόραση συνεχίζει να χρησιμοποιείται από την κυβέρνηση για την προώθηση και στήριξη των απόψεών της[10], ενώ το news247.gr αναφέρεται θετικά στην επαναλειτουργία της ΕΡΤ[11]. Τέλος, η iefimerida.gr κρατάει μια απαισιόδοξη στάση για την επαναλειτουργία της ΕΡΤ καθώς υποστηρίζει ότι είναι φίλα προσκείμενη προς την κυβέρνηση, αναφερόμενη και στη στάση που κράτησε στο δημοψήφισμα[12].
Γράφημα 4: Εστίαση των δημοσιευμάτων ανά υποκατηγορία ιστοσελίδων
Σύμφωνα με το γράφημα 4, υπάρχει μεγάλη διαφοροποίηση στο Ανθρώπινο ενδιαφέρον με 122 δημοσιεύματα στις αριστερές και 98 στις κεντροδεξιές, ενώ στην απόδοση ευθυνών η διαφοροποίηση είναι μικρότερη με 96 στις αριστερές και 118 στις κεντροδεξιές όπως και στις Οικονομικές συνέπειες-Σύγκρουση-Ηθική διάσταση όπου οι κεντροδεξιές ιστοσελίδες υπερισχύουν με 62 δημοσιεύματα έναντι 42 των αριστερών.
Για να γίνει πιο κατανοητή η διαφοροποίηση όσον αφορά το ανθρώπινο ενδιαφέρον, θα αναφερθούμε ενδεικτικά στον τρόπο με τον οποίο οι εφημερίδες παρουσίασαν τα εγκαίνια του μνημείου των πεσόντων της ΕΡΤ από τον πρόεδρο του φορέα, Διονύση Τσακνή, τον Ιούλιο του 2017.
Η Εφημερίδα των Συντακτών φαίνεται ότι, μέσω των δημοσιευμάτων της, υπερασπίζεται το μνημείο και ό, τι αυτό συμβολίζει και καταφέρεται ενάντια στους υβριστές του[13]. Η zougla.gr αναφέρθηκε με δημοσιεύματά της στα εγκαίνια του μνημείου της ΕΡΤ και όσα διαδραματίστηκαν κατά τη διάρκειά του, κρατώντας, σχετικά, ουδέτερη στάση[14].
Η kathimerini.gr με αφορμή το γεγονός των εγκαινίων του μνημείου, εξέφρασε τις αντιρρήσεις της για την αντικειμενικότητα και την πολυφωνία που, διατείνεται ότι, προσφέρει η δημόσια τηλεόραση στον τομέα της ενημέρωσης[15]. Το protothema.gr χαρακτήρισε το μνημείο της ΕΡΤ ως προσβολή της αισθητικής και παραβίαση της λογικής[16] φιλοξενώντας, ωστόσο, και δημοσιεύματα που τάσσοντας υπέρ της ύπαρξής του και του συμβολισμού του[17]. Το newsit.gr ασχολήθηκε με τα εγκαίνια του μνημείου για τους πεσόντες της ΕΡΤ και με το φραστικό επεισόδιο μεταξύ του κ. Τσακνή και της κ. Μακρή[18] κρατώντας κι αυτό ουδέτερη στάση όπως και το news247.gr[19].
Από την πλευρά της, η iefimerida.gr εκφράστηκε αρνητικά ως προς το μνημείο των νεκρών της ΕΡΤ αναφερόμενη και στο επεισόδιο μεταξύ Τσακνή και Μακρή[20]. Τέλος, αξίζει να σημειωθεί ότι το newsit.gr και το news247.gr αναφέρθηκαν στις οικονομικές επιπτώσεις που υφίσταται η ΕΡΤ από τη μη προβολή του καναλιού ERT WORLD από τις παγκόσμιες συχνότητες, εξαιτίας του κλεισίματος της δημόσιας ραδιοτηλεόρασης από την κυβέρνηση Σαμαρά[21].
Στον οικονομικό τομέα εστίασε και η kathimerini.gr αναφερόμενη, όμως, στην σπατάλη των χρημάτων των Ελλήνων φορολογούμενων εστιάζοντας, συγκεκριμένα, στην ενημερωτική εκπομπή «αίθουσα σύνταξης», μετά και το περιστατικό με την παρουσιάστρια κ. Ακριβοπούλου, καθώς, όπως αναφέρει, κάνει προπαγάνδα υπέρ του ΣΥΡΙΖΑ χωρίς να έχει υψηλή τηλεθέαση[22].
Γράφημα 5: Προσανατολισμός δημοσιευμάτων ανά υποκατηγορία ιστοσελίδων
Το γράφημα 5 μας δείχνει ότι οι κεντροδεξιές ιστοσελίδες (117) έχουν περισσότερα δημοσιεύματα πολιτικού προσανατολισμού απ’ ότι οι αριστερές (55). Από την άλλη πλευρά, οι αριστερές (205) έχουν περισσότερα δημοσιεύματα μιντιακού προσανατολισμού από τις κεντροδεξιές (161).
Για παράδειγμα η iefimerida.gr με το δημοσίευμα «Bild για ΕΡΤ: Γιατί γιορτάζετε κ. Τσίπρα;» (iefimerida.gr 2015) αναφέρεται στη γερμανική εφημερίδα η οποία βλέποντας τον Έλληνα πρωθυπουργό να πανηγυρίζει στο ραδιομέγαρο κατά την εκδήλωση για το άνοιγμα της ΕΡΤ, αναρωτιέται για πιο λόγο ο κ. Τσίπρας είναι χαρούμενος τη στιγμή που υπάρχει εμπλοκή στις διαπραγματεύσεις με τους Ευρωπαίους εταίρους.
Από την άλλη μεριά, χαρακτηριστικό είναι το δημοσίευμα της efsyn.gr «Η ΕΡΤ του μέλλοντός μας» (Κουλεντιανού 2015) στο οποίο αναφέρεται η δυνατότητα της ΕΡΤ να φτάσει εκεί που πρέπει να είναι και να αποκτήσει την ποιότητα που οφείλει να έχει.
Γράφημα 6: Συχνότητα δημοσιευμάτων ανά ημερομηνία
Στο γράφημα 6 βλέπουμε πώς κινήθηκαν συνολικά τα δημοσιεύματα κατά τις περιόδους με τις οποίες ασχολείται η έρευνα.
Μπορούμε να παρατηρήσουμε ότι, τα περισσότερα δημοσιεύματα αναρτήθηκαν κατά τις πρώτες μέρες της επαναλειτουργίας της ΕΡΤ από τις 11 Ιουνίου 2015 και για περίπου μια εβδομάδα και κατά τη 2η επέτειο (11 Ιουνίου 2017) και την εβδομάδα που ακολούθησε. Αυτό συνέβη διότι υπήρξαν συνεχόμενες εξελίξεις όπως η παραίτηση του κ. Ταγματάρχη από την προεδρία ΕΡΤ («Παραιτήθηκε από την ΕΡΤ ο Λάμπης Ταγματάρχης», avgi.gr, 2017α), η ανάρτηση της δημοσιογράφου της ΕΡΤ Κατερίνας Ακριβοπούλου στο Facebook, όπου έδειχνε τον αρχηγό της αξιωματικής αντιπολίτευσης Κωνσταντίνο Μητσοτάκη να επαιτεί για εκλογές («ΣΥΡΙΖΑ κατά ΝΔ για την Ακριβοπούλου: Πρωτοφανές να ζητείται η απόλυση δημοσιογράφου», protothema.gr, 2017α) και η δήλωση του εκπροσώπου Τύπου της Νέας Δημοκρατίας, Βασίλη Κικίλια, μέσω της οποίας εξέφρασε την επιθυμία του να κλείσει η ΕΡΤ καθώς υποστηρίζει ότι είναι ένα κομματικό κανάλι που δεν σέβεται τα χρήματα των Ελλήνων φορολογούμενων («ΣΥΡΙΖΑ: Αποκαλύπτεται η νοσταλγία της ΝΔ στο “μαύρο” στην ΕΡΤ», avgi.gr, 2017β).
Επίσης, βλέπουμε ότι και τις δυο πρώτες εβδομάδες του Ιουλίου του 2017 υπήρξε κινητικότητα των δημοσιευμάτων κυρίως λόγω του απόηχου των εγκαινίων του «μνημείου των πεσόντων της ΕΡΤ» και του φραστικού επεισοδίου μεταξύ του προέδρου της ΕΡΤ Διονύση Τσακνή και της πρώην βουλευτού του ΣΥΡΙΖΑ Ραχήλ Μακρή που συνέβη κατά τη διάρκειά τους. Ενδεικτικά, αναφέρουμε το δημοσίευμα της kathimerini.gr «Ένταση και φαιδρότητα στην αποκάλυψη του «μνημείου των νεκρών» της ΕΡΤ» το οποίο σχολιάζει σκωπτικά το συγκεκριμένο γεγονός (kathimerini.gr, 2017) και αυτό του protothema.gr με τίτλο «Το Τwitter διασκεδάζει με το… μνημείο: Σπρώξτε να τρουπώσω κι εγώ στην ΕΡΤ» όπου παραθέτει σχόλια χρηστών του διαδικτύου οι οποίοι σατιρίζουν το μνημείο (protothema.gr, 2017β).
Τέλος, όσον αφορά την πρώτη επέτειο, βλέπουμε ότι καταγράφονται σχετικά λίγα δημοσιεύματα, καθώς την περίοδο εκείνη το κυρίαρχο θέμα ήταν η χορήγηση τηλεοπτικών αδειών στα ιδιωτικά κανάλια.
Συμπεράσματα
Στην παρούσα μελέτη έγινε προσπάθεια να καταγραφεί η στάση που υιοθέτησαν τα μέσα ενημέρωσης όσον αφορά την επαναλειτουργία της ΕΡΤ. Για να το πετύχουμε αυτό καταγράψαμε και αναλύσαμε άρθρα από 6 ηλεκτρονικές εφημερίδες και 4 ειδησεογραφικές ιστοσελίδες, διακρίνοντάς τες σε κεντροδεξιά και αριστερά πολιτικά προσκείμενες, επιδιώκοντας να δούμε αν υπάρχει διαφοροποίηση στις ιστοσελίδες αυτές, ανάλογα με το χώρο που (θεωρούνται ότι) ανήκουν ιδεολογικά, όσον αφορά στη στάση που υιοθετούν για το γεγονός της επαναλειτουργίας της ΕΡΤ.
Σε μια πρώτη προσπάθεια γενίκευσης των αποτελεσμάτων θα μπορούσαμε να πούμε ότι υπάρχει όντως διαφοροποίηση στη στάση των ιστοσελίδων για την επαναλειτουργία της ΕΡΤ ανάλογα με τον πολιτικό χώρο στον οποίο ανήκουν. Πιο συγκεκριμένα, οι ιστοσελίδες που εντάσσονται παραδοσιακά στον κεντροδεξιό πολιτικό χώρο (π.χ. kathimerini.gr, tanea.gr protothema.gr) υποστηρίζουν ότι η ΕΡΤ μετά την επαναλειτουργία της αποτελεί όργανο προπαγάνδας της συγκυβέρνησης ΣΥΡΙΖΑ-ΑΝΕΛ, ενώ κρατάνε αρνητική στάση και στα περισσότερα θέματα που αφορούν την ΕΡΤ όπως τα εγκαίνια του μνημείου πεσόντων της.
Αντιθέτως, οι ιστοσελίδες που εντάσσονται παραδοσιακά στον αριστερό πολιτικό χώρο (π.χ. avgi.gr, efsyn.gr) εκφράζονται θετικά ως προς την επαναλειτουργία της ΕΡΤ, θεωρώντας ότι η συγκεκριμένη εξέλιξη προάγει τη Δημοκρατία και την πολυφωνία οι οποίες διαταράχθηκαν κατά την περίοδο του «μαύρου». Επιπλέον, οι συγκεκριμένες ιστοσελίδες εναντιώνονται σε όποιον έβαλλε ενάντια στην δημόσια ραδιοτηλεόραση, ειδικά στις δηλώσεις των στελεχών της Νέας Δημοκρατίας και των υπόλοιπων αντιπολιτευτικών κομμάτων για «κρατικά ελεγχόμενη ΕΡΤ που δεν σέβεται τα χρήματα των Ελλήνων φορολογούμενων».
Από την καταγραφή διακρίναμε ότι οι κεντροδεξιάς πολιτικής απόκλισης ιστοσελίδες έχουν περισσότερα δημοσιεύματα με ‘Κύριο άρθρο-Άρθρο γνώμης-Ανάλυση’ από τις αριστερές, καθώς όπως είναι φανερό οι συγκεκριμένες ιστοσελίδες χρησιμοποιούν κατά κόρον τα άρθρα γνώμης για να επικρίνουν τις εξελίξεις που αφορούν την ΕΡΤ. Αντιθέτως, στις αριστερής απόκλισης ιστοσελίδες κυριαρχεί το είδος ‘Ρεπορτάζ-Έρευνα-Συνέντευξη’ διότι οι συγκεκριμένες ιστοσελίδες φιλοξενούν σε αρκετά δημοσιεύματά τους, μεταξύ των άλλων, έρευνες θεαματικότητας που δείχνουν ότι η ΕΡΤ κερδίζει σε πολλές περιπτώσεις τη μάχη σε αυτό τον τομέα έναντι των ιδιωτικών.
Από την άλλη πλευρά, δεν υπάρχει διαφοροποίηση στην έκταση του δημοσιεύματος (μικρό-μεσαίο-μεγάλο μέγεθος) ανάλογα με το μέσο ενημέρωσης, όπως και στην περιπτωσιολογική και θεματολογική πλαισίωση. Αυτό σημαίνει, ότι η έκταση του δημοσιεύματος και η συγκεκριμένη πλαισίωση δεν εξαρτώνται από το αν οι ιστοσελίδες ανήκουν στον κεντροδεξιό ή στον αριστερό πολιτικό χώρο, κάνοντας, σχεδόν, ισόποση χρήση τους.
Επίσης, υπάρχει διαφοροποίηση όσον αφορά την κατηγορία στην οποία ανήκει το δημοσίευμα ανάλογα με το μέσο ενημέρωσης. Πιο συγκεκριμένα, στις κεντροδεξιές ιστοσελίδες κυριαρχούν τα δημοσιεύματα που αναφέρονται στον χώρο της πολιτικής, στρέφοντας, προφανώς το γεγονός επαναλειτουργίας της ΕΡΤ στο πεδίο της πολιτικής αντιπαράθεσης. Αξιοσημείωτο είναι το ότι οι αριστερόστροφου προσανατολισμού ιστοσελίδες έχουν περισσότερα δημοσιεύματα που αφορούν στον τηλεοπτικό χώρο, δίνοντας έμφαση στην ποιότητα της δημόσιας τηλεόρασης.
Επιπλέον, υπάρχει διαφοροποίηση όσον αφορά την εστίαση των δημοσιευμάτων ανάλογα με το μέσο ενημέρωσης. Πιο συγκεκριμένα, η μεγαλύτερη διαφορά εντοπίζεται στο πεδίο του ανθρώπινου ενδιαφέροντος με τις αριστερές ιστοσελίδες να υπερέχουν, χρησιμοποιώντας το συγκεκριμένο πεδίο για να προκαλέσουν θετικές εντυπώσεις στους αναγνώστες όσον αφορά στην ΕΡΤ.
Τέλος, υπάρχει διαφοροποίηση όσον αφορά τον προσανατολισμό των δημοσιευμάτων ανάλογα με το μέσο ενημέρωσης. Οι κεντροδεξιού προσανατολισμού ιστοσελίδες έχουν περισσότερα δημοσιεύματα πολιτικού προσανατολισμού, αναφέρονται δηλαδή στις πιθανές επιπτώσεις που θα έχει στο πολιτικό πεδίο η επαναλειτουργία της ΕΡΤ. Αντιθέτως, στις αριστερού προσανατολισμού ιστοσελίδες κυριαρχεί ο μιντιακός προσανατολισμός με τα δημοσιεύματα να εστιάζουν στα ευεργετικά αποτελέσματα που θα έχει η επαναλειτουργία της ΕΡΤ στο πεδίο των ΜΜΕ.
ΒΙΒΛΙΟΓΡΑΦΙΚΕΣ ΑΝΑΦΟΡΕΣ
Αρμενάκης, Α. (2016). Ποσοτικές Μέθοδοι Έρευνας και Ανάλυσης, Σημειώσεις, Πρόγραμμα Μεταπτυχιακών Σπουδών, Τμήμα Επικοινωνίας και ΜΜΕ, Εθνικό και Καποδιστριακό Πανεπιστήμιο Αθηνών.
Γναρδέλης, Χ. (2003). Εφαρμοσμένη Στατιστική. Αθήνα: Παπαζήσης.
Δαφέρμος, Β. (2005). Κοινωνική στατιστική με το SPSS. Θεσσαλονίκη: Ζήτη.
Dearing, J.W. & Rogers, E.M. (2005). Ορίζοντας τα θέματα. Αθήνα: Παπαζήσης.
Λιαλιούτη Ζ. (2005). Μ.Δ: Πολιτική Επικοινωνία και Τύπος: Η ανάδειξη του Γεώργιου Παπανδρέου στην ηγεσία του ΠΑΣΟΚ. Αθήνα: Εθνικό και Καποδιστριακό Πανεπιστήμιο Αθηνών.
Μανθούλης, Ρ. (1981). Το κράτος της τηλεόρασης. Αθήνα: Θεμέλιο.
Χρυσανθακοπούλου, Α. (2013). Μ.Δ: Η προβολή των δράσεων των «αγανακτισμένων» μέσα από τον ελληνικό τύπο. Αθήνα: Εθνικό και Καποδιστριακό Πανεπιστήμιο Αθηνών.
Ηλεκτρονικές ιστοσελίδες αρθρογραφίας
avgi.gr (2017α) Διαθέσιμο στη διεύθυνση <http://www.avgi.gr/article/10838/8239212/paraitetheke-apo-ten-ert-o-lampes-tagmatarches> [Προσπελάστηκε στις 27 Ιανουαρίου 2018].
avgi.gr (2017β) Διαθέσιμο στη διεύθυνση <http://www.avgi.gr/article/10842/8246133/syriza-apokalyptetai-e-nostalgia-tes-nd-sto-mauro-sten-ert> [Προσπελάστηκε στις 27 Ιανουαρίου 2018].
eclass.uoa.gr (2017) Διαθέσιμο στη διεύθυνση <https://eclass.uoa.gr/modules/document/file.php/MEDIA279/%CE%9F%CE%B4%CE%B7%CE%B3%CE%AF%CE%B5%CF%82%20%CE%B3%CE%B9%CE%B1%20%CF%84%CE%B7%20%CF%83%CF%85%CE%B3%CE%B3%CF%81%CE%B1%CF%86%CE%AE%20%CE%B5%CF%81%CE%B3%CE%B1%CF%83%CE%B9%CF%8E%CE%BD-%20%CE%98%CE%AD%CE%BC%CE%B1%CF%84%CE%B1%20%CE%B5%CF%81%CE%B3%CE%B1%CF%83%CE%B9%CF%8E%CE%BD/%CE%9F%CE%B9%20%CF%83%CF%84%CE%B1%CF%84%CE%B9%CF%83%CF%84%CE%B9%CE%BA%CE%BF%CE%AF%20%CE%AD%CE%BB%CE%B5%CE%B3%CF%87%CE%BF%CE%B9%20x%20%CF%84%CE%B5%CF%84%CF%81%CE%AC%CE%B3%CF%89%CE%BD%CE%BF%2C%20t-test%2C%20ANOVA%2C%20correlation.pdf> [Προσπελάστηκε στις 3 Νοεμβρίου 2017] .
iefimerida.gr (2015) Διαθέσιμο στη διεύθυνση <http://www.iefimerida.gr/news/211655/bild-gia-ert-giati-giortazete-k-tsipra> [Προσπελάστηκε στις 30 Ιανουαρίου 2018].
kathimerini.gr (2015) Διαθέσιμο στη διεύθυνση <http://www.kathimerini.gr/818901/article/epikairothta/politikh/nd-o-syriza-kanei-kommatikh-propaganda-apo-thn-ert> [Προσπελάστηκε στις 13 Οκτωβρίου 2017].
kathimerini.gr (2017) Διαθέσιμο στη διεύθυνση <http://www.kathimerini.gr/916710/article/epikairothta/ellada/entash-kai-faidrothta-sthn-apokalyyh-toy-mnhmeioy-twn-nekrwn-ths-ert> [Προσπελάστηκε στις 27 Ιανουαρίου 2018].
newsbeast.gr (2016) Διαθέσιμο στη διεύθυνση <http://www.newsbeast.gr/media/arthro/2226649/ekpempi-xana-i-ert-world> [Προσπελάστηκε στις 13 Οκτωβρίου 2017].
Polites.ert.gr (2015) Διαθέσιμο στη διεύθυνση <http://polites.ert.gr/wp-content/uploads/2015/08/%CE%A6%CE%95%CE%9A.pdf> [Προσπελάστηκε στις 13 Οκτωβρίου 2018]
protothema.gr (2015α) Διαθέσιμο στη διεύθυνση <http://www.protothema.gr/greece/article/483621/me-fodo-tin-elliniki-simaia-kai-ton-ethniko-umno-xekinise-i-ert/> [Προσπελάστηκε στις 13 Οκτωβρίου 2017].
protothema.gr (2015β) Διαθέσιμο στη διεύθυνση <http://www.protothema.gr/greece/article/483849/ert-pros-nd-desmeuomaste-gia-axiopisti-kai-plouralistiki-enimerosi/> [Προσπελάστηκε στις 27 Ιανουαρίου 2018].
protothema.gr (2016) Διαθέσιμο στη διεύθυνση <http://www.protothema.gr/politics/article/592267/nd-epikinduni-apopeira-tis-kuvernisis-na-heiragogisei-tin-enimerosi-/> [Προσπελάστηκε στις 23 Δεκεμβρίου 2017].
protothema.gr (2017α) Διαθέσιμο στη διεύθυνση <http://www.protothema.gr/politics/article/689181/suriza-kata-nd-gia-tin-akrivopoulou-protofanes-na-ziteitai-i-apolusi-dimosiografou/> [Προσπελάστηκε στις 27 Ιανουαρίου 2018].
protothema.gr (2017β) Διαθέσιμο στη διεύθυνση <http://www.protothema.gr/greece/article/694004/to-twitter-diaskedazei-me-to-mnimeio-sproxte-na-trouposo-ki-ego-stin-ert/> [Προσπελάστηκε στις 27 Ιανουαρίου 2018].
sport.fm.gr (2015) Διαθέσιμο στη διεύθυνση <http://www.sport-fm.gr/article/Stiles/Media/ston-aera-kai-i-ert-3/3094778> [Προσπελάστηκε στις 13 Οκτωβρίου 2017].
tanea.gr (2015) Διαθέσιμο στη διεύθυνση <http://www.tanea.gr/news/greece/article/5221337/pospert-kata-kybernhshs-gia-to-nomosxedio-ths-ert/> [Προσπελάστηκε στις 23 Δεκεμβρίου 2017].
zougla.gr (2015) Διαθέσιμο στη διεύθυνση <http://www.zougla.gr/politiki/article/ekpompi-gia-tis-enoples-dinamis-stin-ert> [Προσπελάστηκε στις 27 Ιανουαρίου 2018].
Γαλάνης, Μ. (2015) Διαθέσιμο στη διεύθυνση <http://www.protothema.gr/greece/article/484510/xanaproslamvanoun-6500-dika-tous-paidia/> [Προσπελάστηκε στις 30 Ιανουαρίου 2018].
Κανελλόπουλος, Δ. (2015) Διαθέσιμο στη διεύθυνση <http://www.efsyn.gr/arthro/i-ert-ston-aera> [Προσπελάστηκε στις 27 Ιανουαρίου 2018]
Κουλεντιανού, Μ. (2015) Διαθέσιμο στη διεύθυνση <http://www.efsyn.gr/arthro/i-ert-toy-mellontos-mas> [Προσπελάστηκε στις 30 Ιανουαρίου 2018].
Παππάς, Τ. (2015) «Η νέα ΕΡΤ και τα παλιά φαύλα αφεντικά της» Διαθέσιμο στη διεύθυνση <http://www.efsyn.gr/arthro/i-nea-ert-kai-ta-palia-fayla-afentika-tis> [Προσπελάστηκε στις 21 Ιανουαρίου 2017].
Ρηγόπουλος, Δ. (2015) «Πρεμιέρα ΕΡΤ με παρέλαση υπουργών» Διαθέσιμο στη διεύθυνση <http://www.kathimerini.gr/819016/article/epikairothta/ellada/premiera-ert-me-parelash-ypoyrgwn> [Προσπελάστηκε στις 21 Ιανουαρίου 2018].
Σαραντής, Τ., Τζιαντζή, Α. (2015) Διαθέσιμο στη διεύθυνση <http://www.efsyn.gr/arthro/i-mihaniki-toy-fovoy-stathera-stin-ypiresia-toy-nai-se-ola> [Προσπελάστηκε στις 27 Ιανουαρίου 2018].
Σημειώσεις:
[1] Ερωτήματα που δημιουργήθηκαν κατά τη διάρκεια της έρευνας είναι ήταν εάν υπήρχε διαφοροποίηση των αριστερών και των κεντροδεξιών μέσων ενημέρωσης ως προς:
1) το είδος δημοσιεύματος; 2) την έκταση του δημοσιεύματος; 3) την κατηγορία δημοσιεύματος; 4) την πλαισίωση ως προς τους χειρισμούς της κυβέρνησης; 5) την επεισοδιακή/θεματολογική πλαισίωση των ειδήσεων; 6) την κύρια εστίαση του δημοσιεύματος;7) τον προσανατολισμό του δημοσιεύματος;
[2] Αλλά επειδή η δοκιμασία του χ-τετραγώνου (χ2) είναι ένα πολύμορφο στατιστικό κριτήριο, εμείς για την έρευνά μας επιλέξαμε το “Pearson x2” ή αλλιώς τεστ ανεξαρτησίας (Contingency-tables test) καθώς θέλουμε να μάθουμε αν 2 μεταβλητές είναι ανεξάρτητες μεταξύ τους (Δαφέρμος 2005). Γενικά, το χ2 τεστ χρησιμοποιείται για την εξαγωγή συμπερασμάτων για τις παραμέτρους ενός πληθυσμού και τα οποία προκύπτουν από τον έλεγχο συγκεκριμένων υποθέσεων αναφορικά με τις πληθυσμιακές παραμέτρους (Γναρδέλης 2003). Ο πληθυσμός ορίζεται ως το σύνολο των δυνατών μονάδων ανάλυσης υπό έρευνα, ενώ παράμετροι του πληθυσμού είναι χαρακτηριστικά του πληθυσμού που έχουν σταθερές αλλά άγνωστες τιμές (Αρμενάκης 2016).
Για την πραγματοποίηση ενός ελέγχου υποθέσεων, λαμβάνουμε υπόψη μας δυο υποθέσεις: α) Την υπόθεση ότι μια πληθυσμιακή παράμετρος παίρνει μια συγκεκριμένη αριθμητική τιμή, η οποία ονομάζεται μηδενική υπόθεση (null hypothesis) και συμβολίζεται με H0 και β) Την αντίστροφή υπόθεση της μηδενικής η οποία ονομάζεται εναλλακτική υπόθεση (alternative hypothesis) και συμβολίζεται με HA. Οι δυο αυτές υποθέσεις καλύπτουν όλες τις δυνατές τιμές που μπορεί να πάρει μια συγκεκριμένη αριθμητική τιμή. Επομένως, αν ισχύει η μια, ταυτόχρονα δεν ισχύει η άλλη (Γναρδέλης 2003).
Για να ισχύει η μηδενική υπόθεση πρέπει η στατιστική σημαντικότητα (asymptotic significance) να είναι μεγαλύτερη του 0,05 (5%). Σε αυτή την περίπτωση υπάρχει ανεξαρτησία μεταξύ των μεταβλητών π.χ. η στάση στην πολιτική που ασκεί η κυβέρνηση δεν εξαρτάται από το Μέσο. Αν, όμως, η στατιστική σημαντικότητα είναι μικρότερη από το 0,05, τότε απορρίπτουμε τη μηδενική υπόθεση και δεχόμαστε την εναλλακτική, ότι δηλαδή υπάρχει σχέση μεταξύ των μεταβλητών π.χ. ανάλογα με το Μέσο αλλάζει και η στάση προς τις πολιτικές της κυβέρνησης (Γναρδέλης 2003).
Για να είναι έγκυρο το χ2 τεστ πρέπει στον έλεγχο ανεξαρτησίας να ισχύουν ταυτόχρονα 2 παράμετροι: 1) τα κελιά με αναμενόμενη συχνότητα κάτω του 5 να είναι έως 20% και η ελάχιστη αναμενόμενη συχνότητα να είναι πάνω από 1 (Γναρδέλης 2003).
Αν έστω μια από τις δυο αυτές συνθήκες δεν ισχύει, τότε το τεστ δεν είναι έγκυρο και θα πρέπει να προχωρήσουμε σε επανακωδικοποίηση (recode) των τιμών των μεταβλητών που χρησιμοποιήσαμε δημιουργώντας μια νέα μεταβλητή και να εφαρμόσουμε πάλι το “Pearson x2” χρησιμοποιώντας την καινούργια αυτή μεταβλητή. Συνήθως το τεστ δεν ισχύει επειδή οι τιμές μιας μεταβλητής είναι λίγες κι επομένως με το recode τις ενώνουμε έτσι ώστε να αυξηθεί ο αριθμός τους (Γναρδέλης 2003).
[3] Η έκταση του δημοσιεύματος διαφοροποιείται ανάλογα με το μέσο ενημέρωσης; Σύμφωνα με το “Pearson x2 test”, η έκταση δεν διαφοροποιείται ανάλογα με το μέσο, καθώς το “Asymptotic Significance” έβγαλε αποτέλεσμα 0,391 που είναι μεγαλύτερο από το α που το έχουμε ορίσει στο 0,05 και επομένως ισχύει η μηδενική υπόθεση. Επίσης, τα αποτελέσματα του χ2 τεστ δείχνουν ότι η κατηγορία του δημοσιεύματος επηρεάζεται από το Μέσο και η σχέση αυτή έχει στατιστική σημαντικότητα σε δυο από τις τρεις κατηγορίες.
[4] avgi.gr (2015) «Στοίχημα ενημέρωσης και δημοκρατίας» [διαδίκτυο] Διαθέσιμο στη διεύθυνση http://www.avgi.gr/article/10811/5610054/stoichema-enemeroses-kai-demokratias [Προσπελάστηκε στις 21 Ιανουαρίου 2018]
Μπρέγιαννη, Κ. (2015) «Ν. Φίλης για το άνοιγμα της ΕΡΤ: Ημέρα συγκίνησης, ευθύνης και δέσμευσης» [διαδίκτυο] Διαθέσιμο στη διεύθυνση http://www.avgi.gr/article/10811/5608880/n-philes-gia-to-anoigma-tes-ert-emera-synkineses-euthynes-kai-desmeuses-vid [Προσπελάστηκε στις 21 Ιανουαρίου 2018]
[5] Κανελλόπουλος, Δ. (2015) «Η ΕΡΤ στον αέρα» [διαδίκτυο] Διαθέσιμο στη διεύθυνση http://www.efsyn.gr/arthro/i-ert-ston-aera [Προσπελάστηκε στις 21 Ιανουαρίου 2018]
Μανταίος, Π. (2015) «Από το μαύρο στο άσπρο» [διαδίκτυο] Διαθέσιμο στη διεύθυνση http://www.efsyn.gr/arthro/apo-mayro-sto-aspro [Προσπελάστηκε στις 21 Ιανουαρίου 2018]
[6] zougla.gr (2015) «Αλ. Τσίπρας: Την ΕΡΤ την άνοιξαν οι αγώνες των εργαζομένων και του λαού» [διαδίκτυο] Διαθέσιμο στη διεύθυνση < http://www.zougla.gr/greece/article/se-ekseliksi-i-sinavlia-gia-tin-epanalitourgia-tis-ert—paron-ke-o-al-tsipras> [Προσπελάστηκε στις 21 Ιανουαρίου 2018]
zougla.gr (2015) «Εκδηλώσεις στο Ραδιομέγαρο της ΕΡΤ» [διαδίκτυο] Διαθέσιμο στη διεύθυνση < http://www.zougla.gr/media/article/ekdilosis-sto-radiomegaro-tis-ert> [Προσπελάστηκε στις 21 Ιανουαρίου 2018]
[7] zougla.gr (2015) «Πόλεμος ΕΡΤ-ΝΔ για την πρεμιέρα» [διαδίκτυο] Διαθέσιμο στη διεύθυνση < http://www.zougla.gr/media/article/polemos-ert-nd-gia-tin-premiera> [Προσπελάστηκε στις 21 Ιανουαρίου 2018]
zougla.gr (2015) «Κομματική προπαγάνδα του ΣΥΡΙΖΑ μέσω της ΕΡΤ» [διαδίκτυο] Διαθέσιμο στη διεύθυνση < http://www.zougla.gr/politiki/article/komatiki-propaganda-tou-siriza-meso-tis-ert> [Προσπελάστηκε στις 21 Ιανουαρίου 2018]
[8] Ρηγόπουλος, Δ. (2015) «Πρεμιέρα ΕΡΤ με παρέλαση υπουργών» [διαδίκτυο] Διαθέσιμο στη διεύθυνση < http://www.kathimerini.gr/819016/article/epikairothta/ellada/premiera-ert-me-parelash-ypoyrgwn> [Προσπελάστηκε στις 21 Ιανουαρίου 2018]
Μανδραβέλης, Π. (2015) «Η «Δημοκρατία» του κ. Τσίπρα» [διαδίκτυο] Διαθέσιμο στη διεύθυνση < http://www.kathimerini.gr/819385/opinion/epikairothta/politikh/h-dhmokratia-toy-k-tsipra> [Προσπελάστηκε στις 21 Ιανουαρίου 2018]
[9] tanea.gr (2015) «Συγκίνηση στο Ραδιομέγαρο της ΕΡΤ» [διαδίκτυο] Διαθέσιμο στη διεύθυνση < http://www.tanea.gr/news/greece/article/5247825/kathysterhseis-sth-mesogeiwn-sto-ypsos-ths-ert-apo-mia-lwrida-epitrepetai-h-kinhsh-twn-ix/> [Προσπελάστηκε στις 21 Ιανουαρίου 2018]
tanea.gr (2015) «Ξεκίνησε τη λειτουργία της η ΕΡΤ» [διαδίκτυο] Διαθέσιμο στη διεύθυνση < http://www.tanea.gr/news/greece/article/5247541/ksekinhse-th-leitoyrgia-ths-h-ert/#1> [Προσπελάστηκε στις 21 Ιανουαρίου 2018]
tanea.gr (2015) «ΝΔ για ΕΡΤ: «Ο λαός θα απολαύσει κομματική προπαγάνδα του ΣΥΡΙΖΑ» [διαδίκτυο] Διαθέσιμο στη διεύθυνση < http://www.tanea.gr/news/politics/article/5247674/nd-gia-ert-o-laos-tha-apolaysei-thn-kommatikh-propaganda-toy-syriza/> [Προσπελάστηκε στις 21 Ιανουαρίου 2018]
Παπακώστα, Κ. (2015) «Η Ζωή, ο Μπόλεκ κι ο Λόλεκ στην ΕΡΤ» [διαδίκτυο] Διαθέσιμο στη διεύθυνση < http://www.tanea.gr/old-page-categories/instanea/e-kedroaristeres-istories/article/5247747/h-zwh-o-mpolek-ki-o-lolek-sthn-ert/> [Προσπελάστηκε στις 21 Ιανουαρίου 2018]
[10] Μαυραντζά, Σ. (2015) «Πρώτη φορά αριστερά» στην ΕΡΤ: Η αποθέωση της Ζωής και η συνέντευξη του Τσακνή» [διαδίκτυο] Διαθέσιμο στη διεύθυνση < http://www.protothema.gr/greece/article/483872/ert-epistrofi-se-paniguriko-klima/> [Προσπελάστηκε στις 21 Ιανουαρίου 2018]
protothema.gr (2015) «Μητσοτάκης: Δεν πάω στην ΕΡΤ, που θα προπαγανδίζει υπέρ της Ζωής» [διαδίκτυο] Διαθέσιμο στη διεύθυνση < http://www.protothema.gr/politics/article/483786/to-sholio-tou-kuriakou-mitsotaki-gia-tin-ert-sto-twitter/> [Προσπελάστηκε στις 21 Ιανουαρίου 2018]
[11] Αργύρης, Χ. (2015) «11 Ιουνίου: Όταν η ΕΡΤ είδε ‘άσπρη’ μέρα» [διαδίκτυο] Διαθέσιμο στη διεύθυνση < http://news247.gr/eidiseis/reportaz/11-ioynioy-otan-h-ert-eide-asprh-mera.3525809.html> [Προσπελάστηκε στις 21 Ιανουαρίου 2018]
news247 (2015) «ΕΡΤ: Πλήθος κόσμου στη συναυλία για την επαναλειτουργία της» [διαδίκτυο] Διαθέσιμο στη διεύθυνση < http://news247.gr/eidiseis/psixagogia/media/ert-plhthos-kosmoy-sth-synaylia-gia-thn-epanaleitoyrgia-ths.3523669.html> [Προσπελάστηκε στις 21 Ιανουαρίου 2018]
[12] iefimerida.gr (2015) «Στην ΕΡΤ συνεχίστηκε η παρέλαση των υπουργών: Η υποδοχή ροκ σταρ σε Τσίπρα και ο ασυγκράτητος Παππάς» [διαδίκτυο] Διαθέσιμο στη διεύθυνση < http://www.iefimerida.gr/news/211561/stin-ert-synehistike-i-parelasi-ton-ypoyrgon-i-ypodohi-rok-star-se-tsipra-kai-o> [Προσπελάστηκε στις 21 Ιανουαρίου 2018]
Iefimerida.gr (2015) «Η ΠΟΣΠΕΡΤ κατά της κυβέρνησης που… άνοιξε την ΕΡΤ: Χειρότερα τα νέα μνημόνια» [διαδίκτυο] Διαθέσιμο στη διεύθυνση < http://www.iefimerida.gr/news/218377/i-pospert-kata-tis-kyvernisis-poy-anoixe-tin-ert-heirotera-ta-nea-mnimonia> [Προσπελάστηκε στις 21 Ιανουαρίου 2018]
[13] efsyn.gr (2017) «Η προσβολή της μνήμης των νεκρών είναι ποινικό αδίκημα» [διαδίκτυο] Διαθέσιμο στη διεύθυνση < http://www.efsyn.gr/arthro/i-prosvoli-tis-mnimis-ton-nekron-einai-poiniko-adikima> [Προσπελάστηκε στις 21 Ιανουαρίου 2018]
Κανελλόπουλος, Δ. (2017) «Η ΕΡΤ, το μνημείο και η… Ραχήλ» [διαδίκτυο] Διαθέσιμο στη διεύθυνση < http://www.efsyn.gr/arthro/i-ert-mnimeio-kai-i-rahil> [Προσπελάστηκε στις 21 Ιανουαρίου 2018]
[14] zougla.gr (2017) «ΠΟΣΠΕΡΤ: «Η προσβολή της μνήμης των νεκρών είναι ποινικό αδίκημα και η ασυλία δεν θα παρέχεται εσαεί» [διαδίκτυο] Διαθέσιμο στη διεύθυνση < http://www.zougla.gr/media/article/pospert-i-prosvoli-tis-mnimis-ton-nekron-ine-piniko-adikima-ke-i-asilia-den-8a-parexete-esai> [Προσπελάστηκε στις 21 Ιανουαρίου 2018]
zougla.gr (2017) «Τσακνής προς Ραχήλ Μακρή: Βγάλτε τον σκασμό επιτέλους» [διαδίκτυο] Διαθέσιμο στη διεύθυνση < http://www.zougla.gr/greece/article/tsaknis-pros-raxil-makri-vgalte-to-skasmo-epitelous> [Προσπελάστηκε στις 21 Ιανουαρίου 2018]
[15] Κωνσταντάρας, Ν. (2017) «Το μνημείο της ΕΡΤ και τα βάναυσα θύματα» [διαδίκτυο] Διαθέσιμο στη διεύθυνση < http://www.kathimerini.gr/917394/opinion/epikairothta/politikh/to-mnhmeio-ths-ert-kai-ta-vanaysa-8ymata> [Προσπελάστηκε στις 21 Ιανουαρίου 2018]
Γεωργακόπουλος, Θ. (2017) «Έτσι είναι ο πάτος» [διαδίκτυο] Διαθέσιμο στη διεύθυνση < http://www.kathimerini.gr/917381/opinion/epikairothta/politikh/etsi-einai-o-patos> [Προσπελάστηκε στις 21 Ιανουαρίου 2018]
[16] Μανδηλαρά, Τ. (2018) «Μνημείο ΕΡΤ: Ταφόπλακα στη λογική και την αισθητική» [διαδίκτυο] Διαθέσιμο στη διεύθυνση < http://www.protothema.gr/blogs/blogger/post/696382/minmeio-ert-tafoplaka-sti-logiki-kai-tin-aisthitiki/> [Προσπελάστηκε στις 21 Ιανουαρίου 2018]
Γραμμέλη, Α. (2017) «Το Τwitter διασκεδάζει με το… μνημείο: Σπρώξτε να τρουπώσω κι εγώ στην ΕΡΤ» [διαδίκτυο] Διαθέσιμο στη διεύθυνση < http://www.protothema.gr/greece/article/694004/to-twitter-diaskedazei-me-to-mnimeio-sproxte-na-trouposo-ki-ego-stin-ert/> [Προσπελάστηκε στις 21 Ιανουαρίου 2018]
[17] protothema.gr (2017) «Ποινικό αδίκημα η προσβολή της μνήμης των νεκρών λέει η ΠΟΣΠΕΡΤ» [διαδίκτυο] Διαθέσιμο στη διεύθυνση < http://www.protothema.gr/greece/article/694642/poiniko-adikima-i-prosvoli-tis-mnimis-ton-nekron-leei-i-pospert/> [Προσπελάστηκε στις 21 Ιανουαρίου 2018]
[18] newsit.gr (2017) «Ξεκατίνιασμα Τσακνή – Μακρή για την ΕΡΤ! «Βγάλε τον σκασμό!» [διαδίκτυο] Διαθέσιμο στη διεύθυνση < http://www.newsit.gr/politikh/ksekatiniasma-tsakni-makri-gia-tin-ert-vgale-to-skasmo-vid/2156103/> [Προσπελάστηκε στις 21 Ιανουαρίου 2018]
[19] Μανιάτης, Δ. «ΕΡΤ: Η υπερβολή ενός μνημείου» [διαδίκτυο] Διαθέσιμο στη διεύθυνση < http://news247.gr/eidiseis/gnomes/dimitris-maniatis/ert-h-ypervolh-enos-mnhmeioy.4750285.html> [Προσπελάστηκε στις 21 Ιανουαρίου 2018]
news247.gr (2017) «Το ‘σκάσε’ του Τσακνή στη Ραχήλ Μακρή» [διαδίκτυο] Διαθέσιμο στη διεύθυνση < http://news247.gr/eidiseis/politiki/to-skase-toy-tsaknh-sth-raxhl-makrh.4749311.html> [Προσπελάστηκε στις 21 Ιανουαρίου 2018]
news247.gr (2017) «Μύδροι από ΠΟΣΠΕΡΤ για το μνημείο της ΕΡΤ» [διαδίκτυο] Διαθέσιμο στη διεύθυνση < http://news247.gr/eidiseis/media-news/mudroi-apo-pospert-gia-to-mnhmeio-ths-ert.4753589.html> [Προσπελάστηκε στις 21 Ιανουαρίου 2018]
[20] iefimerida.gr (2017) «Απίστευτο: Μνημείο για τον αγώνα των εργαζομένων στην ΕΡΤ στήνει η ΠΟΣΠΕΡΤ» [διαδίκτυο] Διαθέσιμο στη διεύθυνση < http://www.iefimerida.gr/news/347594/apisteyto-mnimeio-gia-ton-agona-ton-ergazomenon-stin-ert-stinei-i-pospert> [Προσπελάστηκε στις 21 Ιανουαρίου 2018]
Οικονομόπουλος, Θ. (2017) «Ο Τσακνής, κερασάκι στην τούρτα της χυδαιότητας…» [διαδίκτυο] Διαθέσιμο στη διεύθυνση < http://www.iefimerida.gr/opinion/348627/o-tsaknis-kerasaki-stin-toyrta-tis-hydaiotitas> [Προσπελάστηκε στις 21 Ιανουαρίου 2018]
[21] newsit.gr (2017) «Τρύπα 5 εκατ. ευρώ στην ΕΡΤ από την μη εκπομπή της στις παγκόσμιες συχνότητες» [διαδίκτυο] Διαθέσιμο στη διεύθυνση < http://www.newsit.gr/ellada/trypa-5-ekat-eyro-stin-ert-apo-tin-mi-ekpompi-tis-stis-pagkosmies-syxnotites/2157801/> [Προσπελάστηκε στις 21 Ιανουαρίου 2018]
Χατζηκωνσταντίνου, Μ. (2017) «Βουλή: Περί τα 5 εκ. ευρώ στοίχισε το ‘μαύρο’ στη δορυφορική ΕΡΤ» [διαδίκτυο] Διαθέσιμο στη διεύθυνση < http://news247.gr/eidiseis/media-news/voylh-peri-ta-5-ek-eyrw-stoixise-to-mauro-sth-doryforikh-ert.4755070.html> [Προσπελάστηκε στις 21 Ιανουαρίου 2018]
[22] Μανδραβέλης, Π. (2017) «Λεφτά χαμένα…» [διαδίκτυο] Διαθέσιμο στη διεύθυνση < http://www.kathimerini.gr/914740/opinion/epikairothta/politikh/lefta-xamena> [Προσπελάστηκε στις 21 Ιανουαρίου 2018]